

You may download an evaluation copy at the Tac32 Software Download Page.

Tac32 Manual Free


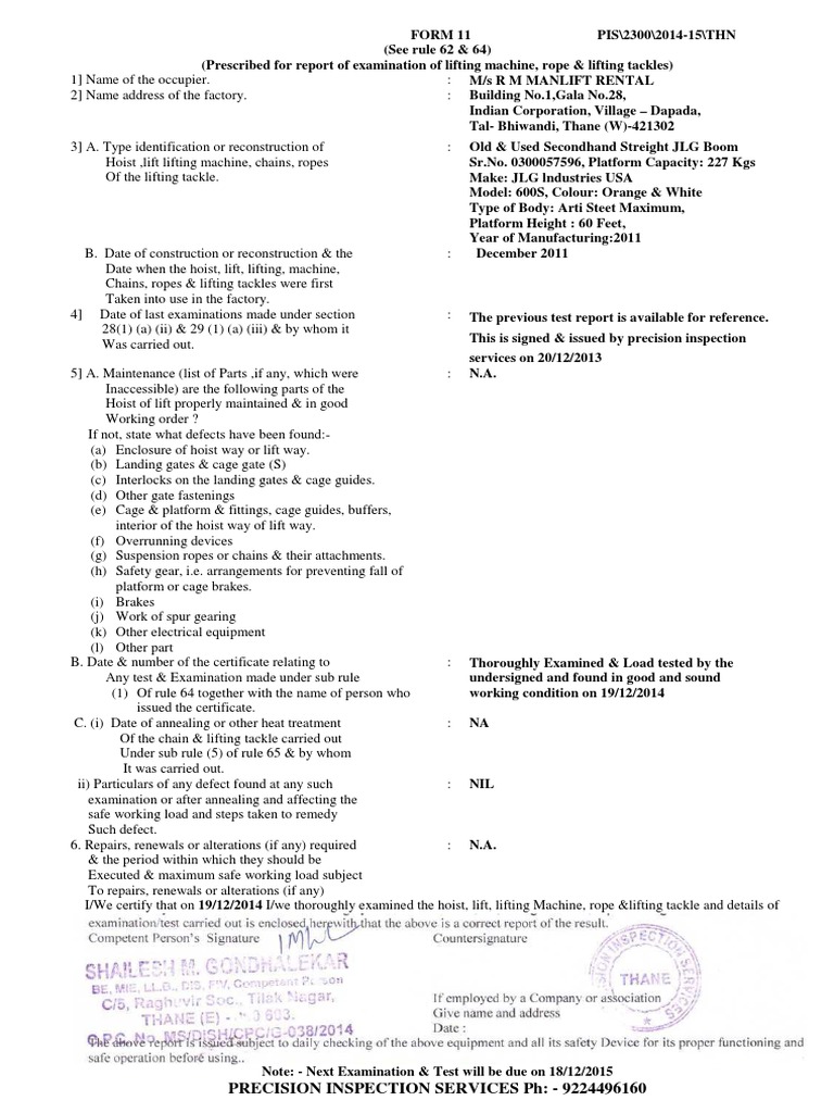
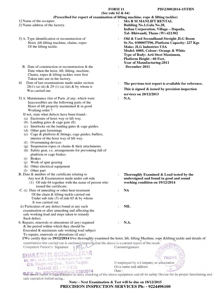
Owner’s Manual Replacement Parts 3001AH HD-03 Door Operator 30 31 Section A-A Door Operator-8 E2010 THYSSENKRUPP ELEVATOR Printed in USA February, 2010. Page 115 Owner’s Manual 3001AH HD-03 Door Operator (continued) 25 26.28I.375I.21I Door Operator-9 E2010 THYSSENKRUPP ELEVATOR Printed in USA February, 2010. Thyssenkrupp Tac32 Owners Manualsideways-moving elevator system Multi Elevator system by ThyssenKrupp is the world’s first ropeless elevator - TomoNews HOME LIFTS by thyssenkrupp Elevator thyssenkrupp announces new elevator high-rise test tower in Atlanta installation procedure of lift and the P.W.D.formalites imaginez 3rd student.
Features: The main screen displays the time in BIG DIGITS. You can select from UTC, PC time, Greenwich Mean Sidereal time, Local Mean Sidereal time, or PC clock error displays. Smaller windows show detains about GPS time, Local time, Sidereal time, GPS Navigation data, and GPS satellite status.
You can enable audible time ticks (to assist you in setting your wrist-watch). Tac32 can automatically set the PC's internal clock with about 10 to 25 msec accuracy. All the time display updates and audible ticks happen synchronously with the GPS 1PPS signal because the PC reads the tick on its DCD line.
Tac32 Manual
Tac32 allows you enter timing offsets and handles all the arithmetic. It makes corrections for time delays in cables and the instrumentation. It tells you (with 1 nsec resolution) the actual epoch of the 1PPS tick and it gives you an estimate of the accuracy of the tick.
Thyssenkrupp Tac 20 Manual
Tac32 gives you a display of which satellites are in use and which satellites are above the horizon. This includes a bar-graph 'S-meter' for each of the GPS satellites currently in lock, which are updated once per second.
Tac32 lets you change operating modes (timing vs. position, elevation masks, satellite selection criteria, etc) easily. When running in position-determination mode it will handle all the position averaging tasks for you.
Tac 32 Manual
Configuration selections are saved when changes are made and restored when Tac32 is restarted.
Tac32 runs on the Windows operating system. Recommended minimum configuration is Pentium 120 with 128 Mb RAM. Tac32 takes about 4Mb RAM to run and does not like being swapped out of memory because of the real-time nature of its operation.
Thyssenkrupp I2 Valve Manual

View Satellite Az-El ChartThis chart shows a graphical representation of the position of the satellite positions on a polar plot to give the user a feel for the orientation of the satellite constellation. The azimuth is shown in degrees around the outside of the plot and the elevation is shown as concentric circles from 90 degrees at the center to zero degrees at the horizon (the outside ring). Each satellite is color coded with blue indicating that the satellite is rising (elevation increasing), red indicating that the satellite is setting and cyan indicating that the satellite’s elevation trend is not known. | Data LoggingData logging is an important feature of Tac32. New log types are being added to support various special requirements. The Time, Position, Velocity, Etc. log contains information about the current PVT status in a comma-delimited text format that can be imported into a spreadsheet program for analysis. To support long duration analysis of PVT data where every data point is not required you may select logging rates from once every second to once every minute. | Raw Data Logs contain the messages from the GPS receiver preceded by an input or output arrow. Binary data messages will be interpreted. | Set the PC ClockYou can enable or disable the setting of the computer’s clock from the CNS Clock. Selections include Disable, Set One Time, Every Second, Every Minute, Every Hour, Every Day, and When PC Clock error exceeds xxx msec. The time of last sync window shows the time that the CNS Clock last reset the PC’s clock. The PC Clock Reset Count window shows the number of times the PC Clock has been reset. | Set Reference LocationThe reference location is the phase center of your stationary GPS antenna. The more accurately you set the station reference location, the more accurate your timing results will be. The location can be set four ways: From a user-loaded database of reference locations, identified by name. Copy a snapshot of the Average Location to the Reference Location. The average location is Tac32’s version of a self-survey. Copy the Current Location to the Reference Location. If you have no other location available, use this one. Manual. If you have a better estimate of the reference location that the other choices above enter you may enter the data manually. | An altitude calculator is provided for ease in matching the Altitude values. It uses linear interpolation of the 10-degree Geoid data map published by the US Defense Mapping Agency. | Timing SetupTac32 provides the means for adjusting the 1pps time mark offset. There are two reasons for doing this. First, the delays in signal propagation through the coax cables and hardware gates must be accounted for so that the leading edge of the 1pps time mark arrives at its termination at exactly the correct instant. Second, large offsets in the 1pps time mark are useful in the precise measurement of event time duration or delay. For high accuracy timing synchronized to UTC the Epoch, Offset and Intentional Early Offset controls are normally set to zero (0) and the Antenna Cable Delay, Measurement Cable Delay and Internal Receiver Delay controls are set as accurately as possible. | Tac32 supports T-RAIM (Time Receiver Autonomous Integrity Monitor). T-RAIM detects and, if possible, isolates faulty satellites so they will not be used in the timing calculations. Selecting Kill 1pps on fail causes the 1 PPS timing mark signal to be suspended whenever the T-RAIM alarm is active. | Coax Delay CalculatorTac32 provides a simple means to obtain the cable delay parameters needed in the Timing Setup dialog box. You simply choose the length and type of coax. The math is done automatically. The calculator even allows for two pieces of different types of coax to be strung in series. | Averaging ParametersFor accurate time keeping, the GPS receiver needs to be constrained to a fixed position, which should be accurate at the 10-15 meter level. The position that is used for this is called the reference position. When you begin operation at a new location, you will probably not know your position accurately. The raw positions reported by the GPS receiver will wander by up to 300 meters horizontally and 450 meters vertically because of weak geometry of the satellites, errors in the broadcast ephemerides, atmospheric propagation errors and especially because the US Military degrades GPS (known as SA = Selective Availability). To overcome these errors, it is desirable to average position measurements for several hours to get an accurate position. When the receiver has been running in position mode for a while, you can transfer the average position into the reference position. You may also manually enter coordinates. | This screen provides information about the progress and statistics of the averaging process, allows you to make adjustments to that process and shows an estimate of the current timing accuracy. | GPS Mode SelectionTac32 gives you full control of the settings used internally by the GPS receiver to perform its calculations. This window allows for a large number of combinations of settings with complex interactions. So what does the non-expert do? Just click on Navigation Defaults to do your self survey then click on Timing or DGPS Defaults to enter the precision timing mode. What could be simpler? To learn more, Tac32 includes extensive Help data. Tac32 can also activate the GPS receiver's DGPS output messages. | Tac32 allows full control over which satellites to use and which to ignore. It highlights satellites that are currently being tracked in green and those that have been used in cyan. This can be used to develop a picture of the satellite constellation if left active for at least 12 hours. |
|